如何使用 ggplot2 在 R 中创建条形图,并在条形图上显示标签?
使用 ggplot2 创建条形图时,position="stack" 是 geom_bar 函数的一个参数,可以用来创建堆叠条形图。如果想要创建堆叠条形图,则需要使用 geom_text 函数,并使用相同的 position 参数和 aes 来定义标签,如下面的示例所示。
示例
考虑 mtcars 数据 −
head(mtcars)
输出
mpg cyl disp hp drat wt qsec vs am gear carb Mazda RX4 21.0 6 160 110 3.90 2.620 16.46 0 1 4 4 Mazda RX4 Wag 21.0 6 160 110 3.90 2.875 17.02 0 1 4 4 Datsun 710 22.8 4 108 93 3.85 2.320 18.61 1 1 4 1 Hornet 4 Drive 21.4 6 258 110 3.08 3.215 19.44 1 0 3 1 Hornet Sportabout 18.7 8 360 175 3.15 3.440 17.02 0 0 3 2 Valiant 18.1 6 225 105 2.76 3.460 20.22 1 0 3 1
示例
df<−data.frame(with(mtcars,table(cyl,gear))) df
输出
cyl gear Freq 1 4 3 1 2 6 3 2 3 8 3 12 4 4 4 8 5 6 4 4 6 8 4 0 7 4 5 2 8 6 5 1 9 8 5 2
加载 ggplot2 软件包并创建堆叠条形图 −
示例
library(ggplot2)
输出
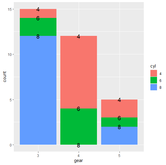
ggplot(df,aes(gear,fill=cyl))+geom_bar(aes(weight=Freq),position="stack")+geom_text(position="stack",aes(gear,Freq,label=cyl),size=5)
输出

广告
数据结构
网络
RDBMS
操作系统
Java
iOS
HTML
CSS
Android
Python
C 编程
C++
C#
MongoDB
MySQL
Javascript
PHP