C++ 中终止进程
假设我们有 n 个进程,每个进程都有一个唯一的 ID,称为 PID 或进程 ID,并且还有其 PPID(父进程 ID)。
每个进程只有一个父进程,但可能有一个或多个子进程。
这就像一个树形结构。只有一个进程的 PPID = 0,这意味着该进程没有父进程。所有 PID 都是唯一的正整数。
我们将使用两个整数列表来表示进程列表,其中第一个列表包含每个进程的 PID,第二个列表包含相应的 PPID。因此,如果我们有两个列表,以及一个表示我们要终止的进程的 PID,那么我们必须找到最终将被终止的进程的 PID 列表。并且我们应该假设当一个进程被终止时,其所有子进程也将被终止。
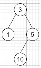
因此,如果输入类似于 pid = [1, 3, 10, 5] ppid = [3, 0, 5, 3] kill = 5,则输出将为 [5,10],

终止 5 也将终止 10。
为了解决这个问题,我们将遵循以下步骤 -
定义一个名为 child 的映射
n := pid 的大小
定义一个数组 ret
初始化 i := 0,当 i < n 时,更新(i 增加 1),执行 -
u := ppid[i]
v := pid[i]
将 v 插入到 child[u] 的末尾
定义一个队列 q
将 kill 插入到 q 中
当 (q 不为空) 时,执行 -
curr := q 的第一个元素
从 q 中删除元素
将 curr 插入到 ret 的末尾
初始化 i := 0,当 i < child[curr] 的大小 时,更新(i 增加 1),执行 -
将 child[curr, i] 插入到 q 中
返回 ret
示例
让我们看看以下实现,以便更好地理解 -
#include <bits/stdc++.h>
using namespace std;
void print_vector(vector<auto> v){
cout << "[";
for(int i = 0; i<v.size(); i++){
cout << v[i] << ", ";
}
cout << "]"<<endl;
}
class Solution {
public:
vector<int> killProcess(vector<int>& pid, vector<int>& ppid, int kill) {
map<int, vector<int> > child;
int n = pid.size();
vector<int> ret;
for (int i = 0; i < n; i++) {
int u = ppid[i];
int v = pid[i];
child[u].push_back(v);
}
queue<int> q;
q.push(kill);
while (!q.empty()) {
int curr = q.front();
q.pop();
ret.push_back(curr);
for (int i = 0; i < child[curr].size(); i++) {
q.push(child[curr][i]);
}
}
return ret;
}
};
main(){
Solution ob;
vector<int> v = {1,3,10,5}, v1 = {3,0,5,3};
print_vector(ob.killProcess(v, v1, 5));
}输入
{1,3,10,5},{3,0,5,3},5输出
[5, 10, ]
广告
数据结构
网络
关系型数据库管理系统
操作系统
Java
iOS
HTML
CSS
Android
Python
C 编程
C++
C#
MongoDB
MySQL
Javascript
PHP