Python程序获取单次迭代链表的中间元素


链表用于存储非连续内存位置中的数据。包含数据项的节点使用指针链接。每个节点包含两个字段。第一个字段用于存储数据,第二个字段包含指向下一个节点的链接。

暴力破解技术

为了找到链表的中间元素,暴力破解技术是通过迭代整个链表直到遇到 NULL 来找出链表的长度,然后将长度除以 2 以获取中间元素的索引。获取中间元素的索引后,再次从头部迭代链表,并在到达所需索引时停止。该索引处的数据项给出中间元素。

  • 取一个名为“temp”的变量指向 HEAD 并将“len”初始化为 0

  • 使用 temp 迭代链表,直到到达 NULL 并对每个节点将“len”递增 1。

  • 获取链表的长度后,再次将 temp 初始化为 HEAD。迭代链表直到 len//2。

使用慢速和快速指针(单次迭代)

我们将使用两个指针遍历链表。一个称为“慢速指针”,另一个称为“快速指针”。

快速指针将以慢速指针的两倍速度移动。

当快速指针到达链表的末尾时,慢速指针将位于中间节点。

因此,我们可以直接打印中间节点的内容。

示例

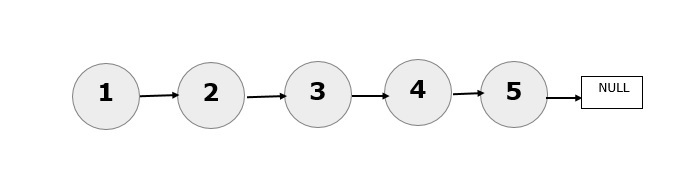
考虑以下链表。中间元素是 3。

快速指针已到达链表的最后一个节点,现在慢速指针指向节点 3。因此,3 是给定链表的中间元素。现在,考虑 6 个节点。

示例

快速指针已到达 NULL,慢速指针指向第 4 个节点。因此,中间元素是 4。

算法

  • 使“慢速”和“快速”指向链表的 HEAD。

  • 将快速指针递增 2,将慢速指针递增 1,直到快速指针和fast.next不等于 NULL

  • 打印慢速指针处的值。

  • 时间复杂度将为 O(n)。

class Node:
  def __init__(self, val):
      self.val = val
      self.next = None
class LinkedList:
  def __init__(self):
      self.head = None

  def insert_at_the_beginning(self, newVal):
      newNode = Node(newVal)
      newNode.next = self.head
      self.head = newNode
  def print_middle_element(self):
      slow=self.head
      fast=self.head
      while fast is not None and fast.next is not None:
          slow=slow.next      #slow pointer moves one node
          fast=fast.next.next  #fast pointer moves two nodes
      print("\n\nthe middle element is ",slow.val)
  def Print_the_LL(self):
      temp = self.head
      if(temp != None):
        print("The linked list elements are:", end=" ")
        while (temp != None):
          print(temp.val, end=" ")
          temp = temp.next
      else:
        print("The list is empty.")
newList = LinkedList()
newList.insert_at_the_beginning(5)
newList.insert_at_the_beginning(4)
newList.insert_at_the_beginning(3)
newList.insert_at_the_beginning(2)
newList.insert_at_the_beginning(1)
newList.Print_the_LL()
newList.print_middle_element()

输出

The linked list elements are: 1 2 3 4 5 

the middle element is  3

更新于: 2023年4月24日

1K+ 浏览量

开启您的 职业生涯

通过完成课程获得认证

开始学习
广告

© . All rights reserved.