设计一个用于处理二进制输入序列的 Moore 机。
问题
设计一个 Moore 机,用于处理二进制输入序列。如果序列包含子串 "101",则输出 A;如果包含子串 "110",则输出 B;否则输出 C。
解答
为了设计这样的机器,我们将检查两个条件:"101" 和 "110"。如果检测到 "101",则输出 A;如果检测到 "110",则输出 B;对于其他字符串,输出 C。
Moore 机有 6 个元组
(Q, q0, Σ, O, δ, λ)
其中:
- Q:有限状态集
- q0:初始状态
- Σ:有限输入符号集
- O:输出字母表
- δ:状态转移函数,Q × Σ → Q
- λ:输出函数,Q → O
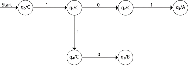
部分状态图如下所示:

示例 1
现在,我们将为每个状态插入 0 和 1 的可能性。
因此,Moore 机如下所示:

解释
- **步骤 1** - q0 是起始状态,输入 '0' 转到 q0,输入 '1' 转到 q1,输出 C。
- **步骤 2** - q1,输入 '0' 转到 q2,输入 '1' 转到 q4,输出 C。
- **步骤 3** - q2,输入 '0' 转到 q0,输入 '1' 转到 q3,输出 C。
- **步骤 4** - q3,输入 '0' 转到 q0,输入 '1' 转到 q4,输出 A。
- **步骤 5** - q4,输入 '0' 转到 q5,输入 '1' 转到 q4,输出 C。
- **步骤 6** - q5,输入 '1' 转到 q3,输出 B。
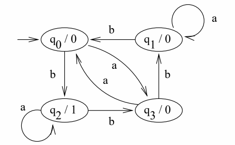
示例 2
构建一个 Moore 机,对于输入字符串 "bababbb",输出为 "01100100"。
输入字母表 - Σ = {a, b}
输出字母表 - Γ = {0, 1}
状态 - q0, q1, q2, q3
状态转移表
状态转移表如下所示:
| 当前状态 | a | b | 输出 |
|---|---|---|---|
| q0 | q3 | q2 | 0 |
| q1 | q1 | q0 | 0 |
| q2 | q2 | q3 | 1 |
| q3 | q0 | q1 | 0 |
状态转移图
状态转移图如下所示:

广告
数据结构
网络
关系数据库管理系统 (RDBMS)
操作系统
Java
iOS
HTML
CSS
Android
Python
C语言编程
C++
C#
MongoDB
MySQL
Javascript
PHP