贝克曼重排
介绍
贝克曼重排是一种广泛应用于将肟转化为酰胺的反应。自发现以来,该反应的安全性和可行性已得到显著改善。本研究重点关注贝克曼重排的发展及其如何被用于改进当前大量生产、易于获得的分子合成,这些分子以前是使用昂贵、有毒且难以获得的试剂制备的。
贝克曼重排是由科学家恩斯特·奥托·贝克曼于19世纪80年代中期发现的。该过程导致肟转化为相应的酰胺,然后允许来自 C=N 键的氮原子插入 C 链中形成碳氮键。根据前体物质,它还可以从醛中生成腈。
什么是贝克曼重排?
贝克曼重排是指将肟取代基转化为取代酰胺的过程,以 1853 年至 1923 年在世的物理学家恩斯特·贝克曼的名字命名。该方法已成功用于重排硝酮和卤亚胺。内酰胺也来源于卡尔西胺和环状肟。
尽管已发现几种化学物质可以促进贝克曼重排,但通常使用酸来催化它。其中包括但不限于碘化三甲硅烷、亚硫酰氯、五氧化二磷和五氯化磷。虽然溶剂的适当选择和反应条件可能会有利于一种产物的合成而不是另一种产物,有时甚至几乎完全产生一种产物,但贝克曼断裂是另一种通常与重排竞争的反应。酮肟和 N-Cl/N-F 亚胺对重排具有立体特异性,迁移基团与连接在 N 上的离去基团处于反式共平面。
据报道,肟的几何构型在特定条件下会发生外消旋化,导致两种区域异构体的合成。醛肟可以在气相中立体特异性地重排,但在液相中则不能立体特异性地重排。醛肟可以通过几种方法转化为伯酰胺,但是,在这些体系中,断裂通常胜过转化。通过硝酮重排,酰胺 N 也在所得区域异构体中转变为具有最大迁移潜力的分子,并且该反应也无立体特异性。
环己酮通过肟转化为己内酰胺是经典的贝克曼重排。己内酰胺是生产尼龙 6 的原料。

乙酸、HCl 和乙酸酐构成了贝克曼溶液,该溶液常用于催化重排。还使用了其他酸,包括 H2SO4、HF 和多磷酸。用于商业内酰胺生产的最常见酸是 (NH4)2SO4,它是通过用 NH3 中和 H2SO4 制备的。硫酸铵是一种典型的农业肥料,可提供 N 和 S。
机理
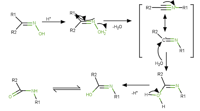
贝克曼重排反应始于肟醇基的质子化。
由于醇基的质子化形成了一个更好的离去基团。
R 基团迁移到连接到离去基团的氮原子,并通过去除 H2O 分子生成碳正离子。
因此,碳正离子的形成发生在反式 1,2-迁移。
现在,一个水分子进攻碳正离子的碳原子,并通过去质子化和互变异构化生成最终的酰胺产物。


贝克曼重排的过程如下:
当环己酮与羟胺反应时,形成肟。
只有在烷基取代基“反式”转变为 N 后,肟的羟基才会发生质子化。
同时,H2O 的去除也会断裂 N-O 键。
随后,发生异构化过程,导致胺的生成。
氰尿酰氯辅助的贝克曼重排反应
氰尿酰氯和氯化锌可用作催化剂,使贝克曼重排反应成为催化反应。例如,环十二酮可以转化为相应的内酰胺,它是生产尼龙 12 所需的单体。

在这个过程中,氰尿酰氯通过亲核芳香取代激活羟基,这取决于催化循环。中间体迈森海默络合物去除产物并用新的反应物取代它。

贝克曼断裂
贝克曼断裂是一种通常与贝克曼重排发生冲突的过程。当肟上的基团能够稳定 C⁺ 的生成时,断裂成为一种可行的反应途径。在反应中,会生成氰化物和 C⁺,它们会迅速被截获以生成多种其他化合物。在反应条件下,氰化物也可以水解生成 -COOH。不同的反应条件会使断裂反应比重排反应更有可能发生。

通过超共轭稳定碳正离子的形成,季碳中心促进断裂反应。如上图所示,会生成“稳定的”碳正离子,然后失去氢原子以生成不饱和位点。通过分别形成酮和亚胺,O 和 N 原子也促进断裂反应。

应用
以下是该反应在工业中的一些应用:
它用于合成扑热息痛。通过使用羟胺将酮转化为酮肟,实现了这种整合。
它主要用于生产各种类固醇和药物化合物。
一些氯代双环内酰胺可以通过贝克曼重排过程制备。
结论
可以得出结论,贝克曼重排是指将肟转化为酰胺的反应。通过使用羟胺处理醛或酮,可以制备肟。这个过程称为贝克曼重排。在某些酸性条件下,这种天然反应有助于将肟转化为酰胺。醇基的质子化最终导致反应开始,形成所需的离去基团。R 基团从离去基团到氮的迁移导致碳正离子的形成,随后是水分子的进入。水原子进攻碳正离子后,通过去质子化和互变异构化生成酰胺。
常见问题
Q1. 肟是如何制备的?
Ans. 肟可以通过使醛/酮与羟胺缩合来制备。羟胺和醛结合形成醛肟,羟胺和酮结合形成酮肟。肟通常以无色晶体的形式出现,并且在液体中溶解度差。
Q2. 碳正离子重排的原因是什么?
Ans. 碳正离子重排是指碳正离子通过结构内各种结构重组“位移”从不稳定形式转变为更稳定状态的过程,这在有机化学中很常见。
Q3. 酮肟是如何工作的?
Ans. 肟的官能团是亚胺的 N 原子连接到羟基。分别由醛和酮生成的肟被称为醛肟和酮肟。
Q4. 肟有什么用途?
Ans. 肟被用作治疗神经毒剂中毒的解毒剂。己内酰胺是一种有机分子,它是尼龙 6 这种聚合物的底物,它是使用肟制备的。
Q5. 缩醛和缩酮是如何合成的?
Ans. 在无水条件和酸催化剂存在下,羰基与醇(如甲醇或乙醇)反应生成缩酮和缩醛。虽然可以使用许多不同的醇来制备缩醛和缩酮,但乙醇可能是最常用的醇。
数据结构
网络
关系数据库管理系统
操作系统
Java
iOS
HTML
CSS
Android
Python
C语言编程
C++
C#
MongoDB
MySQL
Javascript
PHP