C++ 中删除具有给定值的叶子节点
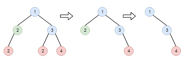
假设我们有一个二叉树和一个整数目标值,我们需要删除所有值为目标值的叶子节点。需要注意的是,一旦我们删除了一个值为目标值的叶子节点,如果其父节点变成了叶子节点并且其值也为目标值,则也应该删除它(我们需要持续这样做,直到无法再删除为止)。因此,如果树如以下所示,目标值为 2,则最终的树将如最后一个所示:

为了解决这个问题,我们将遵循以下步骤:
定义一个名为 remLeaf() 的递归方法,它将接收根节点和目标值作为参数。
如果根节点为空,则返回 null。
left := remLeaf(根节点的左子节点, 目标值)
right := remLeaf(根节点的右子节点, 目标值)
如果左子节点为空且右子节点为空,并且根节点的值与目标值相同,则返回 null。
根节点的左子节点 := left
根节点的右子节点 := right
返回根节点。
示例 (C++)
让我们看看以下实现,以便更好地理解:
#include <bits/stdc++.h>
using namespace std;
class TreeNode{
public:
int val;
TreeNode *left, *right;
TreeNode(int data){
val = data;
left = right = NULL;
}
};
void insert(TreeNode **root, int val){
queue<TreeNode*> q;
q.push(*root);
while(q.size()){
TreeNode *temp = q.front();
q.pop();
if(!temp->left){
if(val != NULL)
temp->left = new TreeNode(val);
else
temp->left = new TreeNode(0);
return;
} else {
q.push(temp->left);
}
if(!temp->right){
if(val != NULL)
temp->right = new TreeNode(val);
else
temp->right = new TreeNode(0);
return;
} else {
q.push(temp->right);
}
}
}
TreeNode *make_tree(vector<int> v){
TreeNode *root = new TreeNode(v[0]);
for(int i = 1; i<v.size(); i++){
insert(&root, v[i]);
}
return root;
}
void tree_level_trav(TreeNode*root){
if (root == NULL) return;
cout << "[";
queue<TreeNode *> q;
TreeNode *curr;
q.push(root);
q.push(NULL);
while (q.size() > 1) {
curr = q.front();
q.pop();
if (curr == NULL){
q.push(NULL);
} else {
if(curr->left)
q.push(curr->left);
if(curr->right)
q.push(curr->right);
if(curr->val == 0 || curr == NULL){
cout << "null" << ", ";
} else {
cout << curr->val << ", ";
}
}
}
cout << "]"<<endl;
}
class Solution {
public:
TreeNode* removeLeafNodes(TreeNode* root, int target) {
if(!root || root->val == 0) return NULL;
TreeNode* left = removeLeafNodes(root->left, target);
TreeNode* right = removeLeafNodes(root->right, target);
if(!left && !right && root->val == target){
return NULL;
}
root->left = left;
root->right = right;
return root;
}
};
main() {
vector<int> v1 = {1,2,3,2,NULL,2,4};
TreeNode *root = make_tree(v1);
Solution ob;
tree_level_trav(ob.removeLeafNodes(root, 2));
}输入
[1,2,3,2,null,2,4] 2
输出
[1, 3, 4, ]
广告
数据结构
网络
关系数据库管理系统
操作系统
Java
iOS
HTML
CSS
Android
Python
C 编程
C++
C#
MongoDB
MySQL
Javascript
PHP