斯维恩氧化反应
介绍
氧化反应指的是一种化学反应,当物质趋向于与氧元素靠近时就会发生。然而,当存在氧以外的氧化剂时,反应也会发生。氧化的结果是合成各种有机化合物。此外,这种反应会导致形成各种新的官能团,并倾向于改变预先存在的结构。
什么是斯维恩氧化反应?
斯维恩氧化反应指的是一种重要的氧化过程,它倾向于避免使用各种金属,例如铬。该反应在温和条件下进行,与其他氧化反应相比具有优势。

图 1 - 斯维恩氧化反应
这是一种有机反应,使用草酰氯作为有机碱。其中二甲亚砜参与了伯醇和仲醇与醛和酮相关的氧化反应。然而,可以注意到,在这种情况下,醛不会进行进一步的反应。在氧化过程中,逐渐形成羧酸。这种反应称为氧化还原反应。
该反应是由著名的美国化学家丹尼尔·斯维恩发现的。上面图像中给出了斯维恩氧化反应的一个例子,该图像显示了 DMSO 或二甲亚砜。
形成的副产物
这种氧化反应非常受欢迎,因为它对各种官能团具有广泛的耐受性。随着反应的进行,会形成某些副产物,包括以下内容。
二甲硫醚($\mathrm{Me_{2}S}$,也称为 DMS)
三乙胺盐酸盐 $\mathrm{Et_{3}NHCl}$
二氧化碳或 $\mathrm{CO_{2}}$
一氧化碳或 CO
在给定的副产物中,一氧化碳和二甲硫醚这两种产物都被认为是非常危险的。这是因为一氧化碳被认为是剧毒的,如果人吸入它可能会导致影响。它进入血液,从而产生对组织非常有害的碳氧血红蛋白。另一方面,二甲硫醚在性质上具有很高的挥发性,导致产生强烈的臭味。
斯维恩氧化反应的机理
斯维恩氧化反应的机理及其图像如下所示。第一步考虑在 60o C 下反应物(即具有共振支持结构的二甲亚砜分子)与草酰氯之间的反应。这倾向于迅速分解,导致形成副产物。

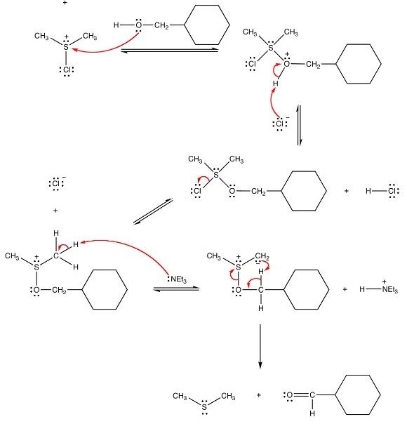
图 2 - 斯维恩氧化反应机理 (a)
第二步显示醇在氯(二甲基)硫鎓氯化物反应中的添加。这导致形成一氧化碳和二氧化碳作为副产物。

图 3 - 斯维恩氧化反应机理 (b)
下一步允许对作为中间体的烷氧基硫鎓离子进行去质子化。分解导致形成羰基化合物和二甲硫醚。这导致形成羰基化合物,但是四氢呋喃或 THF 最常作为这种反应中的溶剂。
斯维恩氧化反应的优点
斯维恩氧化反应中观察到各种优点,其中最重要的是该反应不会进一步进行,因为会形成醛。即使在低温下,反应也会进行,从而氧化醇。此外,该反应的条件非常温和,因为它在 -78o C 下进行,并且通常认为需要丙酮或干冰浴。
斯维恩氧化反应的缺点
尽管观察到许多优点,但仍然存在某些缺点。其中第一个是二甲硫醚是一种有臭味的瓦斯,另一个是如果吸入,一氧化碳对人体有害。
斯维恩氧化反应的实验室制备及其应用
斯维恩氧化反应可以在实验室中进行,方法是遵循以下几个步骤。第一步是在烧瓶中制备,烧瓶中装有搅拌棒,然后活化 DMSO。这导致添加醇,然后添加碱。但是,最后一步是后处理和纯化。斯维恩氧化反应的应用因为它为合成化学家提供了独特的特征。
结论
在本教程中,深入探讨了通过斯维恩氧化反应进行的整个过程。可以注意到,这是氧化伯醇和仲醇最合适的过程之一。但是,这种反应既有多个优点,也有缺点。主要的缺点是二甲硫醚的难闻气味。
常见问题解答
1. 为什么斯维恩氧化反应被称为选择性方法?
斯维恩氧化反应被称为选择性方法,因为它是在氧化 1o 或伯醇所需的流程之一。通过此过程,醇会转化为醛。此外,斯维恩氧化化学反应在羰基团在反应中形成后会立即停止反应。但是,这种性质类似于其他存在的性质温和的氧化剂,例如德斯-马丁(DMP)氧化、吡啶铬酸盐(PDC)和吡啶氯铬酸盐(PCC)。
2. 斯维恩氧化反应中形成了哪些副产物?
斯维恩氧化反应会产生副产物。随着反应的进行,包括二甲硫醚 (Me2S 或 DMS) 以及 CO 或一氧化碳、三乙胺盐酸盐 $\mathrm{(Et_{3}NHCl)}$ 和 $\mathrm{CO_{2}}$ 或二氧化碳。
3. 为什么将这种化学反应称为斯维恩氧化反应?
将这种化学反应称为斯维恩氧化反应的原因是,该反应于 1978 年由两位著名的化学家丹尼尔·斯维恩和村田健二首次发现。但是,在那次发现之后,这种反应被认为是氧化伯醇和仲醇最常用的策略。
数据结构
网络
关系型数据库管理系统
操作系统
Java
iOS
HTML
CSS
Android
Python
C 语言编程
C++
C#
MongoDB
MySQL
Javascript
PHP