什么是确定性有限自动机 (DFA)?
确定性意味着对于每个输入,自动机只有一个状态可以从其当前状态转换。在确定性有限自动机中,磁头只能沿一个方向移动以扫描输入磁带符号。但在双向有限自动机的情况下,在扫描输入符号时,磁带的磁头可以从其当前位置向右或向左移动。
确定性有限自动机是一组 5 元组,定义为
M=(Q,Σ,δ,q0,F),其中:
Q:有限控制中存在的非空有限状态集 (q0,q1,q2)。
Σ:非空有限的输入符号集。
δ:这是一个转移函数,它接受两个参数,一个状态和一个输入符号,它返回一个由∴ δ:Q x Σ →Q 表示的单个状态。设 q 为状态,a 为传递给转移函数的输入符号。δ(q,a)=q。q 是函数的输出,它可能是相同的状态或新的状态。
q0 ∈ Q 是初始状态。
F⊆ Q 是最终状态集。
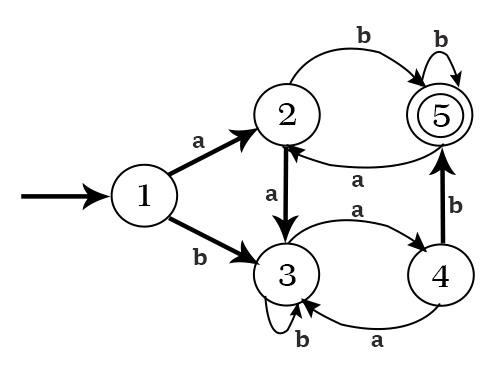
示例 - 最小化以下 DFA

解决方案
- 制作一个状态转移表。

- π0= {{5}}, {1, 2, 3, 4}}
- 对于输入 a,在 π0 的 {1, 2, 3, 4} 上

- 对于输入 b,在 π0 的 {1, 2, 3, 4} 上

∴ {1, 2, 3, 4} 将被分成 {1, 3} 和 {2, 4}
∴ π1={{5},{1,3},{2,4}}
- 对于 π1 的 {1, 3} 上的输入符号 a

同样对于 π1 的 {2, 4} 上的输入符号 a

- 对于 π1 的 {1, 3} 上的输入符号 b

同样对于 π1 的 {2, 4} 上的输入符号 b

π1 中的子集,即 {1, 3} 和 {2, 4} 将不会被分割。
πfinal= {{5}, {1, 3}, {2, 4}}
DFA 将有 3 个状态。
{5}, {1, 3} 和 {2, 4}
最小化的 DFA 将是 -


广告
数据结构
网络
关系数据库管理系统 (RDBMS)
操作系统
Java
iOS
HTML
CSS
Android
Python
C语言编程
C++
C#
MongoDB
MySQL
Javascript
PHP