数据库中的N元关系
关系是任何实体关系图中的重要组成部分,因为它显示了两个不同实体之间的关系。在n元关系中,n表示关系中实体的数量。它可以是任何数字,但最常见的关系是一元、二元和三元关系,其中实体的数量分别为一、二和三。
关于一元、二元和三元关系的更多信息如下:
一元关系
当相同类型两个实体之间存在关系时,称为一元关系或递归关系。这意味着关系存在于相同实体类型的不同实例之间。一元关系的一些示例如下所示:
一对一的一元关系
一个人一次只能与一个人结婚。因此,这是实体“人”与自身之间的递归关系。这是一个一对一的递归关系,因为一个人与一个人结婚。
一对多的一元关系
一名员工可以监督多名员工。因此,这是实体“员工”与自身之间的递归关系。这是一个一对多的递归关系,因为一名员工监督多名员工。
二元关系
当两个不同实体之间存在关系时,称为二元关系。二元关系的一些示例如下所示:
一对一的二元关系
每位员工只有一张身份证。因此,这是一个一对一的二元关系,其中1名员工有1张身份证。
多对一的二元关系
许多员工在一个部门工作。因此,这是一个多对一的二元关系,其中许多员工在一个部门工作。
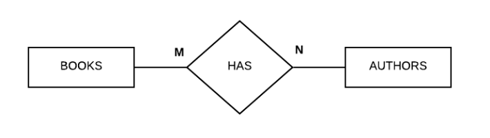
多对多的二元关系
一本书可以有多个作者,或者多位作者可以合写一本书。因此,书籍和作者之间存在多对多的关系,因为许多书有许多作者。
三元关系
当三个不同实体之间存在关系时,称为三元关系。三元关系的一个示例如下所示:
在这个例子中,医生、病人和药物之间存在三元关系。
广告
数据结构
网络
关系数据库管理系统 (RDBMS)
操作系统
Java
iOS
HTML
CSS
Android
Python
C语言编程
C++
C#
MongoDB
MySQL
Javascript
PHP