C++ 中的 N 叉树层序遍历
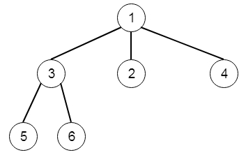
假设我们有一个 n 叉树,我们需要返回其节点值的层序遍历。N 叉树输入序列化以其层序遍历表示。此处,每组子节点以空值分隔(请参见示例)。因此,以下树可以表示为 [1,null,3,2,4,null,5,6]

输出将为 [[1],[3,2,4],[5,6]]
为了解决此问题,我们将遵循以下步骤 −
创建一个矩阵 ans
如果 root 为空,则返回 ans
创建一个队列 q 并插入根
当 q 不为空时
size := 队列的大小
创建一个数组 temp
当 size 不为 0 时
curr := q 的第一个元素
将 curr 的值插入 temp
从队列中删除元素
对于 curr 的子节点范围为 0 至 size
插入 curr 第 i 个子节点
将 size 减 1
将 temp 插入 ans
返回 ans
让我们看看以下实现以加深理解 −
示例
#include <bits/stdc++.h>
using namespace std;
void print_vector(vector<vector<auto> > v){
cout << "[";
for(int i = 0; i<v.size(); i++){
cout << "[";
for(int j = 0; j <v[i].size(); j++){
cout << v[i][j] << ", ";
}
cout << "],";
}
cout << "]"<<endl;
}
class Node {
public:
int val;
vector<Node*> children;
Node() {}
Node(int _val) {
val = _val;
}
Node(int _val, vector<Node*> _children) {
val = _val;
children = _children;
}
};
class Solution {
public:
vector<vector<int>> levelOrder(Node* root) {
vector < vector <int> > ans;
if(!root)return ans;
queue <Node*> q;
q.push(root);
while(!q.empty()){
int sz = q.size();
vector<int> temp;
while(sz--){
Node* curr = q.front();
temp.push_back(curr->val);
q.pop();
for(int i = 0; i < curr->children.size(); i++){
q.push(curr->children[i]);
}
}
ans.push_back(temp);
}
return ans;
}
};
main(){
Node *root = new Node(1);
Node *left_ch = new Node(3), *mid_ch = new Node(2), *right_ch = new Node(4);
left_ch->children.push_back(new Node(5));
left_ch->children.push_back(new Node(6));
root->children.push_back(left_ch);
root->children.push_back(mid_ch);
root->children.push_back(right_ch);
Solution ob;
print_vector(ob.levelOrder(root));
}输入
[1,null,3,2,4,null,5,6]
输出
[[1, ],[3, 2, 4, ],[5, 6, ],]
广告
数据结构
网络
RDBMS
操作系统
Java
iOS
HTML
CSS
Android
Python
C 编程
C++
C#
MongoDB
MySQL
Javascript
PHP