C++ 中执行二叉树的层次遍历的程序
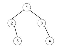
假设我们有一棵二叉树。我们必须使用层次遍历方式遍历这棵树。因此,如果这棵树类似于

则遍历序列将类似于:[1,2,3,5,4]
为了解决这个问题,我们将按照以下步骤操作 −
定义队列 que 来存储节点
将根节点插入到 que 中。
当 que 不为空时,执行以下操作
item := 存在于队列前面的项目
打印 item 的值
如果 item 的左节点不为 null,则将 item 的左节点插入到 que 中
如果 item 的右节点不为 null,则将 item 的右节点插入到 que 中
从 que 中删除前面的元素
让我们看以下实现,以便更好地理解 −
范例
#include <bits/stdc++.h>
using namespace std;
void print_vector(vector<int> v){
cout << "[";
for(int i = 0; i<v.size(); i++){
cout << v[i] << ", ";
}
cout << "]"<<endl;
}
class TreeNode{
public:
int val;
TreeNode *left, *right;
TreeNode(int data){
val = data;
left = right = NULL;
}
};
class Solution {
public:
vector<int> solve(TreeNode* root) {
if(!root)
return {};
vector <int> ret;
queue <TreeNode*> q;
q.push(root);
while(!q.empty()){
TreeNode* node = q.front();
q.pop();
ret.push_back(node->val);
if(node->left){
q.push(node->left);
}
if(node->right){
q.push(node->right);
}
}
return ret;
}
};
main(){
TreeNode *root = new TreeNode(1);
root->left = new TreeNode(2);
root->right = new TreeNode(3);
root->left->right = new TreeNode(5);
root->right->right = new TreeNode(4);
Solution ob;
print_vector(ob.solve(root));
}
输入
TreeNode *root = new TreeNode(1); root->left = new TreeNode(2); root->right = new TreeNode(3); root->left->right = new TreeNode(5); root->right->right = new TreeNode(4);
输出
[1, 2, 3, 5, 4, ]
广告
数据结构
网络
RDBMS
操作系统
Java
iOS
HTML
CSS
Android
Python
C 编程
C++
C#
MongoDB
MySQL
Javascript
PHP