在 JavaScript 树中删除节点
树是一种非线性数据结构,它包含节点和边;其中边充当两个节点之间的链接,节点在其内部保存值。
遍历是一种过程,它将检索树中每个节点的数据并按指定的顺序打印它们。
下面列出了三种类型的树遍历:
中序遍历 - 中序技术将遵循路径(左 → 根 → 右)。
前序遍历 - 前序技术将遵循路径(根 → 左 → 右)。
后序遍历 - 后序技术将遵循路径(左 → 右 → 根)。
从树中删除节点
从树中删除节点这个术语基本上是一个过程,在这个过程中,一个节点被删除并形成一个新的形状。但在某些其他情况下,它会消除它们之间的链接,并替换为树中的其他节点。
通常,内存(存储)中不会有任何树状结构。它们是内存中随机放置的元素(节点),我们试图借助指针(边)将它们连接起来。
如果我们需要删除一个元素,需要分离附加到它的指针并将其分配给相应的元素。
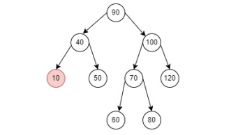
考虑下面的示例:

在上述情况下,我们尝试删除一个节点(40),该节点附加了一个子节点。如果要删除的节点只有一个子节点,它将复制该子节点到该节点并删除该子节点。
可以从树中删除节点。其中有三种可能的删除节点的情况。以下列出了这些情况。
场景 1 - 如果要删除的节点是叶子节点,则在这种情况下可以将其简单地从树中删除。

算法
如果节点是叶子节点
- 从树中删除节点。
场景 2 - 如果要删除的节点只有一个子节点,它将复制其子节点到该节点并删除该子节点。

算法
如果节点有一个子节点
- 找到它的子节点,假设为 c_node。
- 将其设置为 node → data = c_node。
- 再次删除子节点。
场景 3 - 如果要删除的节点有两个子节点。
首先,找到节点的中序后继,并将它的值复制到要删除的节点,然后删除中序后继节点。

算法
如果节点同时具有左子节点和右子节点
- 在右子树中找到最小的节点,假设为 min_node。
- 将其设置为 node → data = min_node。
- 再次删除 min_node。
示例
在下面的示例中,我们实现了一个二叉搜索树,并在其中插入了足够数量的节点。我们对给定的树执行了删除操作。我们还在从树中删除选定节点后执行了中序遍历。

<!DOCTYPE html> <html> <head> <script> class Node { constructor(item) { this.key = item; this.left = this.right = null; } } let root = null; function deleteKey(key) { root = deleteRecursive(root, key); } function deleteRecursive(root, key) { if (root == null) return root; if (key < root.key) root.left = deleteRecursive(root.left, key); else if (key > root.key) root.right = deleteRecursive(root.right, key); else { if (root.left == null) return root.right; else if (root.right == null) return root.left; root.key = minimumValue(root.right); root.right = deleteRecursive(root.right, root.key); } return root; } function minimumValue(root) { let minValue = root.key; while (root.left != null) { minValue = root.left.key; root = root.left; } return minValue; } function insert(key) { root = insertRec(root, key); } function insertRec(root, key) { if (root == null) { root = new Node(key); return root; } if (key < root.key) root.left = insertRec(root.left, key); else if (key > root.key) root.right = insertRec(root.right, key); return root; } function inorder() { InorderRecursion(root); } function InorderRecursion(root) { if (root != null) { InorderRecursion(root.left); document.write(root.key + " "); InorderRecursion(root.right); } } insert(90); insert(40); insert(10); insert(50); insert(100); insert(70); insert(60); insert(80); insert(120); document.write("After inserting the above nodes In-order will be: <br>"); inorder(); document.write("<br>Delete the node 10<br><br>"); deleteKey(10); document.write("In-order after node 10 is deleted from the tree <br>"); inorder(); document.write("<br>Delete the node 40<br><br>"); deleteKey(40); document.write("In-order after node 40 is deleted from the tree <br>"); inorder(); document.write("<br>Delete the node 90<br><br>"); deleteKey(90); document.write("After removing the above nodes, the In-order will be as follows: <br>"); inorder(); </script> </head> <body> </body> </html>
输出
上述脚本的输出将是:
After inserting the above nodes In-order will be: 10 40 50 60 70 80 90 100 120 Delete the node 10 In-order after node 10 is deleted from the tree 40 50 60 70 80 90 100 120 Delete the node 40 In-order after node 40 is deleted from the tree 50 60 70 80 90 100 120 Delete the node 90 After removing the above nodes, the In-order will be as follows: 50 60 70 80 100 120
广告
数据结构
网络
RDBMS
操作系统
Java
iOS
HTML
CSS
Android
Python
C 语言编程
C++
C#
MongoDB
MySQL
Javascript
PHP