用 C++ 找出二叉树中所有右节点的最大值
在这个教程中,我们得到一棵二叉树。我们的任务是找出二叉树中所有右节点的最大值。
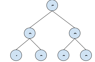
问题说明: 我们需要在这棵二叉树的右子节点中找出最大值。
举个例子来理解问题,
输入:

输出: 9
说明:
所有右节点有:{2, 8, 9}。它们的最大值是 9。
解决方案
为了解决这个问题,我们需要遍历这棵树,并检查它是否有右子节点。如果有,就将它与 maxRight 元素进行比较,如果较大就进行替换。
演示我们解决方案的程序:
示例
#include <iostream>
using namespace std;
struct Node {
int data;
struct Node *left, *right;
};
Node* newNode(int data) {
Node* temp = new Node;
temp->data = data;
temp->left = temp->right = NULL;
return temp;
}
int findMaxRightNode(Node* root) {
int maxRight = -100;
if (root == NULL)
return -1;
if (root->right != NULL)
maxRight = root->right->data;
return max( findMaxRightNode(root->right), max(maxRight, findMaxRightNode(root->left) ) );
}
int main() {
Node* root = newNode(5);
root->left = newNode(3);
root->right = newNode(2);
root->left->left = newNode(1);
root->left->right = newNode(8);
root->right->left = newNode(6);
root->right->right = newNode(9);
cout<<"The maximum among all right nodes in Binary Tree is "<< findMaxRightNode(root);
return 0;
}输出
The maximum among all right nodes in Binary Tree is 9
广告
数据结构
网络
RDBMS
操作系统
Java
iOS
HTML
CSS
Android
Python
C 编程
C++
C#
MongoDB
MySQL
Javascript
PHP