C++ 中节点与其祖先之间的最大差值
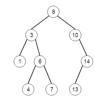
假设我们有一个二叉树的根节点,我们需要找到一个最大值 V,对于该值,存在不同的节点 A 和 B,其中 V = |A 的值 - B 的值| 且 A 是 B 的祖先。所以如果树是这样的:

那么输出将是 7。祖先节点的差异如下 [(8 - 3), (7 - 3), (8 - 1), (10-13)],其中 (8 - 1) = 7 是最大的。
为了解决这个问题,我们将遵循以下步骤:
最初定义 ans 为 0
定义一个名为 solve() 的方法,它将接收树节点、currMin 和 currMax。它将按如下方式执行:
如果节点为空,则返回
ans := ans、|节点的值 - currMin|、|节点的值 - currMax| 的最大值
solve(节点的左子节点,节点值和 currMin 的最小值,节点值和 currMax 的最大值)
solve(节点的右子节点,节点值和 currMin 的最小值,节点值和 currMax 的最大值)
在主程序部分,调用 solve(root, 根节点的值, 根节点的值),并返回 ans
让我们看一下下面的实现,以便更好地理解:
示例
#include <bits/stdc++.h>
using namespace std;
class TreeNode{
public:
int val;
TreeNode *left, *right;
TreeNode(int data){
val = data;
left = NULL;
right = NULL;
}
};
void insert(TreeNode **root, int val){
queue<TreeNode*> q;
q.push(*root);
while(q.size()){
TreeNode *temp = q.front();
q.pop();
if(!temp->left){
if(val != NULL)
temp->left = new TreeNode(val);
else
temp->left = new TreeNode(0);
return;
}else{
q.push(temp->left);
}
if(!temp->right){
if(val != NULL)
temp->right = new TreeNode(val);
else
temp->right = new TreeNode(0);
return;
}else{
q.push(temp->right);
}
}
}
TreeNode *make_tree(vector<int> v){
TreeNode *root = new TreeNode(v[0]);
for(int i = 1; i<v.size(); i++){
insert(&root, v[i]);
}
return root;
}
class Solution {
public:
int ans;
void solve(TreeNode* node, int currMin, int currMax){
if (!node || node->val == 0) return;
ans = max({ans, abs(node->val - currMin), abs(node->val -
currMax)});
solve(node->left, min(node->val, currMin), max(node->val,
currMax));
solve(node->right, min(node->val, currMin), max(node->val,
currMax));
}
int maxAncestorDiff(TreeNode* root) {
ans = 0;
solve(root, root->val, root->val);
return ans;
}
};
main(){
vector<int> v = {8,3,10,1,6,NULL,14,NULL,NULL,4,7,13};
TreeNode *root = make_tree(v);
Solution ob;
cout << (ob.maxAncestorDiff(root));
}输入
[8,3,10,1,6,null,14,null,null,4,7,13]
输出
7
广告
数据结构
网络
RDBMS
操作系统
Java
iOS
HTML
CSS
Android
Python
C 编程
C++
C#
MongoDB
MySQL
Javascript
PHP