用 C++ 计算平均绝对差的程序
给定一个自然数数组,任务是计算平均绝对差,为此,我们需要了解平均值、方差和标准偏差。
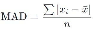
计算平均绝对差需要遵循以下步骤
计算平均值
计算绝对差
将所有计算所得的绝对差相加
套用公式

输入
arr[] = { 34,21,56,76,45,11}输出
mean absolute deviation is : 18.5
输入
arr[] = {10, 15, 15, 17, 18, 21}输出
mean absolute mean absolute deviation is : 2.66
给定程序中使用的如下
输入数组元素
计算数组平均值
使用公式计算绝对差:Sum = Sum + abs(arr[i] - Mean(arr, n))
计算平均绝对差,方法是将总绝对差除以数组中元素的总数
(abs(arr[0] – mean) + abs(arr[1] – mean) + . . + abs(arr[n-1] – mean) / n
算法
Start
Step 1→ declare function to calculate mean
float mean(float arr[], int size)
declare float sum = 0
Loop For int i = 0 and i < size and i++
Set sum = sum + arr[i]
End
return sum / size
Step 2→ Declare function to calculate deviation
float deviation(float arr[], int size)
declare float sum = 0
Loop For int i = 0 and i < size and i++
Set sum = sum + abs(arr[i] - mean(arr, size))
End
return sum / size
Step 3→ In main()
Declare float arr[] = { 34,21,56,76,45,11}
Declare int size = sizeof(arr) / sizeof(arr[0])
Call deviation(arr, size)
Stop示例
#include <bits/stdc++.h>
using namespace std;
//calculate mean using mean function
float mean(float arr[], int size){
float sum = 0;
for (int i = 0; i < size; i++)
sum = sum + arr[i];
return sum / size;
}
//calculate mean deviation
float deviation(float arr[], int size){
float sum = 0;
for (int i = 0; i < size; i++)
sum = sum + abs(arr[i] - mean(arr, size));
return sum / size;
}
int main(){
float arr[] = { 34,21,56,76,45,11};
int size = sizeof(arr) / sizeof(arr[0]);
cout<<"mean absolute deviation is : "<<deviation(arr, size);
return 0;
}输出
如果运行以上代码,它将生成以下输出 −
mean absolute deviation is : 18.5
广告
数据结构
网络
RDBMS
操作系统
Java
iOS
HTML
CSS
Android
Python
C 编程
C++
C#
MongoDB
MySQL
Javascript
PHP