拉格朗日插值
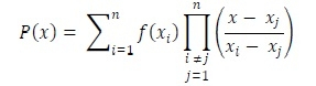
对于在离散给定数据点范围之内构造新的数据点,使用插值技术。拉格朗日插值技术就是其中之一。当给定数据点分布不均匀时,我们可以用此插值法找出解决方案。对于拉格朗日插值法,我们必须遵循此方程式。

输入和输出
Input:
List of x and f(x) values. find f(3.25)
x: {0,1,2,3,4,5,6}
f(x): {0,1,8,27,64,125,216}
Output:
Result after Lagrange interpolation f(3.25) = 34.3281算法
largrangeInterpolation(x: array, fx: array, x1)
输入 − x 阵列和 fx 阵列,用于获取以前已知的数据,以及点 x1。
输出:f(x1) 的值。
Begin res := 0 and tempSum := 0 for i := 1 to n, do tempProd := 1 for j := 1 to n, do if i ≠ j, then tempProf := tempProd * (x1 – x[j])/(x[i] – x[j]) done tempPord := tempProd * fx[i] res := res + tempProd done return res End
示例
#include<iostream>
#define N 6
using namespace std;
double lagrange(double x[], double fx[], double x1) {
double res = 0, tempSum = 0;
for(int i = 1; i<=N; i++) {
double tempProd = 1; //for each iteration initialize temp product
for(int j = 1; j<=N; j++) {
if(i != j) { //if i = j, then denominator will be 0
tempProd *= (x1 - x[j])/(x[i] - x[j]); //multiply each term using formula
}
}
tempProd *= fx[i]; //multiply f(xi)
res += tempProd;
}
return res;
}
main() {
double x[N+1] = {0,1,2,3,4,5,6};
double y[N+1] = {0,1,8,27,64,125,216};
double x1 = 3.25;
cout << "Result after lagrange interpolation f("<<x1<<") = " << lagrange(x, y, x1);
}输出
Result after lagrange interpolation f(3.25) = 34.3281
广告
数据结构
网络
关系型数据库管理系统
操作系统
Java
iOS
HTML
CSS
Android
Python
C 编程
C++
C#
MongoDB
MySQL
Javascript
PHP