用 C++ 检查有向图是否联通
为了检查图的连通性,我们将尝试使用任何遍历算法遍历所有节点。遍历完成后,如果仍有未访问的节点,则该图是不连通的。

对于有向图,我们将从所有节点开始遍历以检查连通性。有时一条边可能只有外向边,没有内向边,因此该节点将不会从任何其他起始节点访问。
在这种情况下,遍历算法是递归 DFS 遍历。
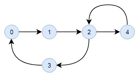
输入 - 图的邻接矩阵
| 0 | 1 | 0 | 0 | 0 |
| 0 | 0 | 1 | 0 | 0 |
| 0 | 0 | 0 | 1 | 1 |
| 1 | 0 | 0 | 0 | 0 |
| 0 | 1 | 0 | 0 | 0 |
输出 - 该图是连通的。
算法
traverse(u, visited) Input: The start node u and the visited node to mark which node is visited. Output: Traverse all connected vertices. Begin mark u as visited for all vertex v, if it is adjacent with u, do if v is not visited, then traverse(v, visited) done End isConnected(graph) Input: The graph. Output: True if the graph is connected. Begin define visited array for all vertices u in the graph, do make all nodes unvisited traverse(u, visited) if any unvisited node is still remaining, then return false done return true End
示例
#include<iostream>
#define NODE 5
using namespace std;
int graph[NODE][NODE] = {{0, 1, 0, 0, 0},
{0, 0, 1, 0, 0},
{0, 0, 0, 1, 1},
{1, 0, 0, 0, 0},
{0, 1, 0, 0, 0}
};
void traverse(int u, bool visited[]){
visited[u] = true; //mark v as visited
for(int v = 0; v<NODE; v++){
if(graph[u][v]){
if(!visited[v])
traverse(v, visited);
}
}
}
bool isConnected(){
bool *vis = new bool[NODE];
//for all vertex u as start point, check whether all nodes are visible or not
for(int u; u < NODE; u++){
for(int i = 0; i<NODE; i++)
vis[i] = false; //initialize as no node is visited
traverse(u, vis);
for(int i = 0; i<NODE; i++){
if(!vis[i]) //if there is a node, not visited by traversal, graph is not connected
return false;
}
}
return true;
}
int main(){
if(isConnected())
cout << "The Graph is connected.";
else
cout << "The Graph is not connected.";
}输出
The Graph is connected.
广告
数据结构
网络
关系数据库管理系统
操作系统
Java
iOS
HTML
CSS
Android
Python
C 编程
C++
C#
MongoDB
MySQL
Javascript
PHP