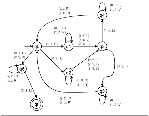
构建一个用于语言 L = {wwr | w ∈ {0, 1}} 的图灵机。
在这里,我们将了解如何为语言 L = {WWr |W 属于 {0, 1}} 构建图灵机。所以这表示一种语言,我们只使用两个字符 0 和 1。w 是一个字符串,wr 是它的逆序。所以如果 w = 10110,那么 wr 将是 01101。因此,图灵机将接受字符串 z = 1011001101。
为了解决这个问题,我们将使用这种方法。首先检查第一个符号,如果它是 0,则使用 y 替换它,如果它是 1,则使用 x 替换它。然后转到字符串的末尾。所以最后一个符号与第一个符号相同。我们也根据它用 x 或 y 替换它。之后,再次回到从开始替换的符号旁边的位置,并重复上述相同过程。我们必须记住,由于 wr 是 w 的逆序,因此两者将具有相同数量的符号。每次替换字符串开头处的第 n 个符号时,都替换结尾处的相应第 n 个符号。
状态转换图

广告
数据结构
网络
关系数据库管理系统
操作系统
Java
iOS
HTML
CSS
Android
Python
C 编程
C++
C#
MongoDB
MySQL
Javascript
PHP