在DBMS中构建银行系统的ER图?
问题
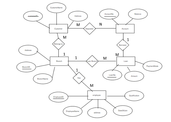
考虑以下约束,绘制银行数据库应用程序的ER模型:
一家银行拥有许多实体。
每个客户拥有多个账户。
多个客户属于同一个支行。
单个客户可以借多笔贷款。
一个支行有多名员工。
解决方案
按照以下步骤绘制银行数据库应用程序的ER模型:
步骤1 - 识别实体集
实体集在给定的业务场景中有多个实例。
根据给定的约束,实体集如下:
客户
账户
账户
贷款
贷款
步骤2 - 识别给定实体的属性
客户 - 相关属性包括客户姓名、客户ID、地址。
账户 - 相关属性包括账户号、余额。
支行 - 相关属性包括支行ID、支行名称、地址。
贷款 - 相关属性包括贷款号、支付方式、贷款日期和金额。
员工 - 相关属性包括员工ID、员工姓名、入职日期、经验、资格。
步骤3 - 识别主键属性
CustomerID是客户的主键属性。
AccountNo是账户实体的主键属性。
BranchID是支行实体的主键属性。
LoanNo是贷款实体的主键属性。
EmpID是员工实体的主键属性。
步骤4 - 识别实体集之间的关系
一个客户可以注册多个账户,一个账户可以属于多个客户。因此,这种关系是多对多关系。

许多客户属于一个支行,而一个支行属于许多客户。因此,客户和支行之间的关系是多对一关系。

一个客户可以借多笔贷款,同样多笔贷款可以由一个客户借出,因此客户和贷款之间的关系是一对多关系。

一个支行有多名员工,同样多名员工在一个支行工作。

步骤5 - 完成ER图
完整的ER图如下:

广告
数据结构
网络
关系型数据库管理系统 (RDBMS)
操作系统
Java
iOS
HTML
CSS
Android
Python
C语言编程
C++
C#
MongoDB
MySQL
Javascript
PHP