数轴上的小数位数:百分位



介绍

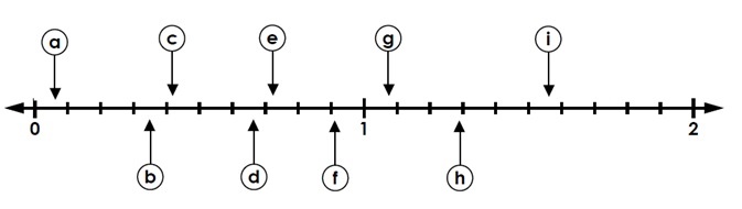
考虑以下数轴

Identify Decimal Number

它被分成两个主要部分0-1和1-2。每个部分进一步细分成10个部分,即十分位。十分位之间的数字是百分位。数轴上显示的字母代表百分位。

考虑数轴上字母b表示的小数0.35。它是三十五百分之一,小于1。因此它位于0和1之间;更准确地说,它位于三十百分之一(十分之三)和四十百分之一(十分之四)之间。

因此,我们在数轴上将小数0.35或三十五百分之一读作位于0.30和0.40或0.3和0.4之间的一个点。

同样,a表示0.06;c是0.42;d是0.67;e是0.72;f是0.91;g、hi表示大于1的值。g是1.08;h是1.29;i是1.57。

例题1

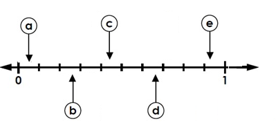
确定以下数轴上字母表示的小数。

Identify Decimal Number

解答

步骤1

a表示位于0和0.1之间的值。它表示6百分之一或0.06。

步骤2

同样,b是0.27;c是0.43;d是0.67;e是0.92。

例题2

确定以下数轴上字母表示的小数。

Identify Decimal Number

解答

步骤1

g表示位于1.1和1.2之间的值。它表示12百分之一或1.12。

因此g表示1.12;

步骤2

同样,h是1.34;i是1.58;j是1.88。

广告
© . All rights reserved.