数轴上的小数位置:十分之几



介绍

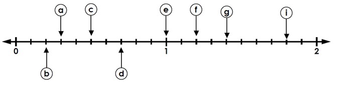
考虑以下给出的数轴

Consider Number

它被分成两个主要部分 0-1 和 1-2。每个部分进一步被分成 10 个部分,这些部分是十分之几

要读取数轴上十分之几的小数位置,请考虑以下一些示例。字母 a 指向 0 和 1 之间的第三个部分。所以它表示 0.3。类似地,b 表示 0.2;c 是 0.5,d 是 0.7。

e 表示 1.0 或十个十分之几,f、g 和 i 表示大于 1 的值。

f、g 和 i 分别表示 1.2、1.4 和 1.8。

问题 1

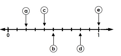
确定以下给定数轴上字母表示的小数。

Identify Decimal Number

解答

步骤 1

a 表示第二个部分,因此它表示两个十分之几或 0.2;

步骤 2

同样,b 是 0.5;c 是 0.4;d 是 0.8;e 是 1.0

问题 2

确定以下所示数轴上字母表示的小数。

Identify Decimal Number

解答

步骤 1

g、h、ij 表示大于 1 的值。

步骤 2

g 表示 1.1;h 是 1.3;i 是 1.6;j 是 1.9

广告

© . All rights reserved.