Python 中查找 DAG 中最长路径(无重复节点)的程序
假设我们有一个由邻接表表示的有向无环图。我们需要找到图中最长的路径,且路径中没有重复的节点。
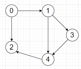
因此,如果输入类似于

则输出将是 4,因为路径为 0 -> 1 -> 3 -> 4 -> 2,长度为 4。
为了解决这个问题,我们将遵循以下步骤:
- ans := 0
- n := 图的节点数
- table := 一个大小为 n 的列表,并填充 -1
- 定义一个函数 dfs()。它将接收 u
- 如果 table[u] 不为 -1,则
- 返回 table[u]
- p_len := 0
- 对于图[u] 中的每个顶点 v,执行以下操作:
- p_len := p_len 和 (1 + dfs(v)) 中的最大值
- table[u] := p_len
- 返回 p_len
- 在主方法中执行以下操作:
- 对于范围从 0 到 n 的 i,执行以下操作:
- ans := ans 和 dfs(i) 中的最大值
- 返回 ans
示例(Python)
让我们看看以下实现,以便更好地理解:
class Solution: def solve(self, graph): ans = 0 n = len(graph) table = [-1] * n def dfs(u): if table[u] != -1: return table[u] p_len = 0 for v in graph[u]: p_len = max(p_len, 1 + dfs(v)) table[u] = p_len return p_len for i in range(n): ans = max(ans, dfs(i)) return ans ob = Solution() graph = [ [1, 2], [3, 4], [], [4], [2], ] print(ob.solve(graph))
输入
graph = [[1, 2],[3, 4],[],[4],[2]]
输出
4
广告
数据结构
网络
关系数据库管理系统
操作系统
Java
iOS
HTML
CSS
Android
Python
C 语言编程
C++
C#
MongoDB
MySQL
Javascript
PHP