如何在 C 语言项目中求直角三角形外接圆的面积?
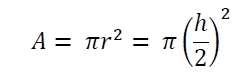
我们将在此处了解如何求直角三角形外接圆的面积。三角形的斜边形成圆的直径。因此,如果斜边为 h,则半径为 h/2

因此,面积为 −

示例代码
#include <iostream>
#include <cmath>
using namespace std;
float area(float h) {
if (h < 0) //if h is negative it is invalid
return -1;
float area = 3.1415 * (h/2) * (h/2);
return area;
}
int main() {
float h = 8;
cout << "Area : " << area(h);
}输出
Area : 50.264
推广内容
数据结构
网络
关系数据库管理系统
操作系统
Java
iOS
HTML
CSS
Android
Python
C 语言编程
C++
C#
MongoDB
MySQL
Javascript
PHP