C++程序:计算两个同心圆之间的面积?
什么是同心圆?
同心圆是指内含于另一个圆内的圆,这意味着它们共享同一个圆心,但半径长度不同,即r1和r2,其中r2>r1。两个同心圆之间的区域称为环形区域。
下图是同心圆的图形

问题
给定两个半径分别为r1和r2的不同同心圆,其中r2>r1。任务是找到两个圆之间的面积,该面积用蓝色突出显示。
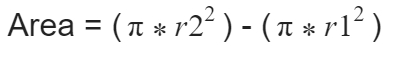
要计算两个圆之间的面积,我们可以从较大的圆的面积中减去较小的圆的面积。
假设,较大的圆的半径为r2,较小的圆的半径为r1,则

示例
Input-: r1=3 r2=4 Output-: area between two given concentric circle is :21.98
算法
Start Step 1 -> define macro as #define pi 3.14 Step 2 -> Declare function to find area between the two given concentric circles double calculateArea(int x, int y) set double outer = pi * x * x Set double inner = pi * y * y return outer-inner step 3 -> In main() Declare variable as int x = 4 and int y = 3 Print calculateArea(x,y) Stop
示例
#include <bits/stdc++.h>
#define pi 3.14
using namespace std;
// Function to find area between the two given concentric circles
double calculateArea(int x, int y){
double outer = pi * x * x;
double inner = pi * y * y;
return outer-inner;
}
int main(){
int x = 4;
int y = 3;
cout <<"area between two given concentric circle is :"<<calculateArea(x, y);
return 0;
}输出
area between two given concentric circle is :21.98
广告
数据结构
网络
关系数据库管理系统 (RDBMS)
操作系统
Java
iOS
HTML
CSS
Android
Python
C语言编程
C++
C#
MongoDB
MySQL
Javascript
PHP