- ggplot2 教程
- ggplot2 - 首页
- ggplot2 - 简介
- ggplot2 - R 的安装
- ggplot2 - R 中的默认绘图
- ggplot2 - 坐标轴使用
- ggplot2 - 图例的使用
- ggplot2 - 散点图和抖动图
- ggplot2 - 条形图和直方图
- ggplot2 - 饼图
- ggplot2 - 边际图
- ggplot2 - 气泡图和计数图
- ggplot2 - 差异图
- ggplot2 - 主题
- ggplot2 - 多面板图
- ggplot2 - 多个图
- ggplot2 - 背景颜色
- ggplot2 - 时间序列
- ggplot2 有用资源
- ggplot2 - 快速指南
- ggplot2 - 有用资源
- ggplot2 - 讨论
ggplot2 - 坐标轴使用
当我们谈论图表中的坐标轴时,指的是以二维方式表示的 x 轴和 y 轴。在本章中,我们将重点关注两个数据集“Plantgrowth”和“Iris”,这两个数据集是数据科学家常用的。
在 Iris 数据集中实现坐标轴
我们将使用以下步骤来使用 R 的 ggplot2 包处理 x 轴和 y 轴。
加载库以获取包的功能始终很重要。
# Load ggplot library(ggplot2) # Read in dataset data(iris)
创建绘图点
如前一章所述,我们将创建一个包含点的绘图。换句话说,它被定义为散点图。
# Plot p <- ggplot(iris, aes(Sepal.Length, Petal.Length, colour=Species)) + geom_point() p
现在让我们了解 aes 的功能,它提到了“ggplot2”的映射结构。美学映射描述了绘图所需的变量结构以及应该以单个图层格式管理的数据。
输出如下所示:
高亮和刻度线
绘制具有 x 轴和 y 轴指定坐标的标记,如下所示。它包括添加文本、重复文本、突出显示特定区域和添加线段:
# add text
p + annotate("text", x = 6, y = 5, label = "text")
# add repeat
p + annotate("text", x = 4:6, y = 5:7, label = "text")
# highlight an area
p + annotate("rect", xmin = 5, xmax = 7, ymin = 4, ymax = 6, alpha = .5)
# segment
p + annotate("segment", x = 5, xend = 7, y = 4, yend = 5, colour = "black")
添加文本生成的输出如下所示:
使用指定的坐标重复特定文本会生成以下输出。文本的 x 坐标为 4 到 6,y 坐标为 5 到 7:
分段和突出显示特定区域的输出如下所示:
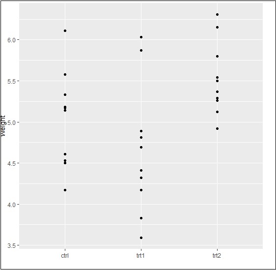
PlantGrowth 数据集
现在让我们关注另一个名为“Plantgrowth”的数据集,以及所需的步骤如下所示。
调用库并查看“Plantgrowth”的属性。此数据集包含一项实验的结果,该实验旨在比较在对照和两种不同处理条件下获得的产量(以植物干重衡量)。
> PlantGrowth weight group 1 4.17 ctrl 2 5.58 ctrl 3 5.18 ctrl 4 6.11 ctrl 5 4.50 ctrl 6 4.61 ctrl 7 5.17 ctrl 8 4.53 ctrl 9 5.33 ctrl 10 5.14 ctrl 11 4.81 trt1 12 4.17 trt1 13 4.41 trt1 14 3.59 trt1 15 5.87 trt1 16 3.83 trt1 17 6.03 trt1
使用坐标轴添加属性
尝试绘制一个简单的绘图,其中包含如下所示的所需 x 轴和 y 轴:
> bp <- ggplot(PlantGrowth, aes(x=group, y=weight)) + + geom_point() > bp
生成的输出如下所示:
最后,我们可以根据需要使用基本函数交换 x 轴和 y 轴,如下所示:
> bp <- ggplot(PlantGrowth, aes(x=group, y=weight)) + + geom_point() > bp
基本上,我们可以使用许多美学映射属性来使用 ggplot2 处理坐标轴。
广告