解释确定性有限自动机 (DFA) 中的连接过程
下面解释确定性有限自动机 (DFA) 中的连接过程:
如果 L1 和 L2 是两个正则语言,则它们的交集 L1 ∩ L2 也是正则的。
例如:
L1 = {an | n > 0} 和 L2 = {bn | n > 0}
L3 = L1 ∩ L2 = {an ∩ bn | n > 0} 也是正则的。
在这个属性中,我们说两个 DFA 的连接也是 DFA。
问题
设计一个在字母表 {a,b} 上的 DFA,其中字符串以 'a' 开头并以 'b' 结尾。
解决方案
对于给定的条件,会形成两种不同类型的语言,如下所示:
- L1 = {a, aab, aabab, .......}
- L2 = {b, bbab, bbabab, .......}
在 L1 中,起始元素是 'a',
在 L2 中,结束元素是 'b'。
语言 L1
它以 'a' 开头
L1 = {a, aab, aabab, .......}
L1 的状态转换图如下所示:

在上图的状态转换图中,q1 是初始状态。
DFA 中的每个状态都必须对两种输入产生转换
所以:
q1 对 'a' 转到 q3 并达到其最终状态 {a}。
q1 对 'b' 转到 q2 并达到死状态。
q3 对 'a' 转到 q3,达到最终状态,生成从起始状态生成的字符串 {a,ab,aba,aab,abb,……} 满足每个字符串都以 'a' 开头的条件。
q2 是死状态。
语言 L2
它以 'b' 结尾
L2 = {b, bbab, bbabab, .......}
L2 的状态转换图如下所示:

初始状态 q1:q1 对 'a' 转到 q1
q1 对 'b' 转到 q2
一旦我们生成字符串 {ab,abb,abab,……},它就满足语言中每个字符串都以 'b' 结尾的条件。
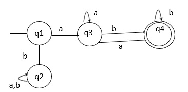
连接 L1 和 L2
当我们将 L1 和 L2 连接起来时,我们得到以下结果:
L = L1 ∩ L2 = L1.L2 = {ab, aab, abb, aaab, ...}
L1 和 L2 连接后的状态转换图如下所示:

数据结构
网络
关系数据库管理系统 (RDBMS)
操作系统
Java
iOS
HTML
CSS
Android
Python
C语言编程
C++
C#
MongoDB
MySQL
Javascript
PHP