将NFA转换为DFA并解释它们之间的区别
非确定性有限自动机 (NFA) 和确定性有限自动机 (DFA) 之间的一些基本区别在于,在 DFA 中,每个状态对每个输入都有一个输出,而 NFA 不一定如此。
此外,在 NFA 中,输入可以是 ε,但在 DFA 中则不然。
此外,在 NFA 中,一个状态可以在相同的输出上转换到不同的状态,但在 DFA 中则不然。
通常,我们通过为给定的 NFA 制作状态转换图,并相应地改变 DFA 的状态图来将 NFA 转换为 DFA。从这个状态转换图,我们可以制作 DFA。
问题
将给定的 NFA 转换为 DFA。
解决方案
给定的 NFA 如下所示:

NFA 的状态转换表如下所示
| 状态\输入 | a | b |
|---|---|---|
| ->q0 | {q2,q1} | - |
| q1 | - | - |
| q2 | {q1,q2} | - |
DFA 的状态转换表如下所示
| 状态\输入 | a | b |
|---|---|---|
| ->q0 | [q0q1] | - |
| *[q2q1] | [q1q2] | [q2] |
| [q2] | [q2q1] | [q2] |
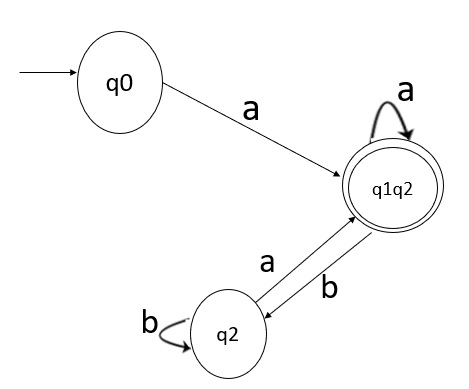
DFA 状态转换图如下所示:

广告
数据结构
网络
关系型数据库管理系统
操作系统
Java
iOS
HTML
CSS
Android
Python
C语言编程
C++
C#
MongoDB
MySQL
Javascript
PHP