罗洛三角形面积?
这里我们将演示如何计算下方的罗洛三角形面积。罗洛三角形内部有一个等边三角形。假设其高度为 h,此形状由三个圆的交点构成。

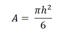
有三个圆扇形。每个扇形的面积为 −

由于等边三角形面积被添加了三次,因此我们必须减去它们。所以最终面积为 −

示例
#include <iostream>
#include <cmath>
using namespace std;
float areaReuleaux(float h) {
if (h < 0) //if h is negative it is invalid
return -1;
float area = ((3.1415 - sqrt(3)) * h * h)/2;
return area;
}
int main() {
float height = 6;
cout << "Area of Reuleaux Triangle: " << areaReuleaux(height);
}输出
Area of Reuleaux Triangle: 25.3701
广告
数据结构
网络
RDBMS
操作系统
Java
iOS
HTML
CSS
Android
Python
C 编程
C++
C#
MongoDB
MySQL
Javascript
PHP